Chào các bạn học của Kiến Guru, hôm nay mình quay trở lại và đem đến cho các bạn các dạng bài tập vật lý 10 và cách giải. Các bài tập dưới đây đều thuộc dạng cơ bản, thường sử dụng các kiến thức trọng tâm và liên quan đến các bài tập sau này trong các kì thi và kiểm tra của các bạn. Vậy nên mình nghĩ nó sẽ giúp cho các bạn rất nhiều kiến thức.
I. Các dạng bài tập vật lý 10 và cách giải liên quan đến vật trượt trên mặt phẳng ngang, mặt phẳng nghiêng - ÁP DỤNG ĐỊNH LUẬT 1-2 NEWTON
Bài 1: Một vật nhỏ khối lượng m chuyển động theo trục Ox (trên một mặt ngang), dưới tác dụng của lực F nằm ngang có độ lớn không đổi. Xác định gia tốc chuyển động của vật trong hai trường hợp:
a. Không có ma sát.
b. Hệ số ma sát trượt trên mặt ngang bằng μt
Hướng dẫn:
- Các lực tác dụng lên vật: Lực kéo F, lực ma sát Fms , trọng lực P, phản lực N
- Chọn hệ trục tọa độ: Ox nằm ngang, Oy thẳng đứng hướng lên trên.
Phương trình định luật II Niu-tơn dưới dạng vectơ:

Chiếu (1) lên trục Ox:
F – Fms = ma (2)
Chiếu (1) lên trục Oy:
- P + N = 0 (3)
N = P và Fms = μt.N
Vậy:
+ Gia tốc a của vật khi có ma sát là:

+ Gia tốc a của vật khi không có ma sát là:

Bài 2: Một học sinh đẩy một hộp đựng sách trượt trên sàn nhà. Lực đẩy ngang là 180 N. Hộp có khối lượng 35 kg. Hệ số ma sát trượt giữa hộp và sàn là 0,27. Hãy tìm gia tốc của hộp. Lấy g = 9,8 m/s2.
Hướng dẫn:
Hộp chịu tác dụng của 4 lực: Trọng lực P , lực đẩy F, lực pháp tuyến N và lực ma sát trượt của sàn.
Áp dụng định luật II Niu-tơn theo hai trục toạ độ:
Ox: Fx = F – Fms = max = ma
Oy: Fy = N – P = may = 0
Fms = μN
Giải hệ phương trình:
N = P = mg = 35.9,8 = 343 N
Fms = μN= 0.27. 343 = 92.6 N
a = 2,5 m/s2 hướng sang phải.
Bài 5: Một quyển sách được thả trượt từ đỉnh của một bàn nghiêng một góc α = 35° so với phương ngang. Hệ số ma sát trượt giữa mặt dưới của quyển sách với mặt bàn là μ = 0.5. Tìm gia tốc của quyển sách. Lấy g = 9.8 m/s2.
Hướng dẫn:
Quyển sách chịu tác dụng của ba lực: trọng lực F , lực pháp tuyến N và lực ma sát Fms của mặt bàn.
Áp dụng định luật II Niu-tơn theo hai trục toạ độ.
Ox: Fx = Psinα – Fms = max = ma
Oy: Fy = N – Pcosα = may = 0
Fms = μN
Giải hệ phương trình ta được:
a = g. (sinα - μcosα) = 9.8.(sin35° - 0,50.cos35°)
⇒ a = l.6 m/s2, hướng dọc theo bàn xuống dưới.
II. Các dạng bài tập vật lý 10 và cách giải liên quan đến vật trượt trên mặt phẳng ngang, mặt phẳng nghiêng - ÁP DỤNG ĐỊNH LUẬT 3 NEWTON
Bài 1: Hai quả cầu chuyển động trên mặt phẳng nằm ngang, quả cầu 1 chuyển động với vận tốc 4 m/s đến va chạm vào quả cầu 2 đang đứng yên. Sau va chạm cả hai quả cầu cùng chuyển động theo hướng cũ của quả cầu 1 với cùng vận tốc 2 m/s. Tính tỉ số khối lượng của hai quả cầu.
Hướng dẫn:
Ta có:

Gọi t là thời gian tương tác giữa hai quả cầu và chọn chiều dương là chiều chuyển động của quả cầu 1. Áp dụng định luật 3 Niu Tơn ta có:

Vậy m1/m2 = 1
Bài 4: Trên mặt nằm ngang không ma sát xe một chuyển động với độ lớn vận tốc 5 m/s đến va chạm vào xe hai đang đứng yên. Sau va chạm xe một bật lại với vận tốc 150 cm/s; xe hai chuyển động với vận tốc 200 cm/s. Biết khối lượng xe hai là 400g; tính khối lượng xe một?
Hướng dẫn:
Ta có v1 = 5m/s; v’1 = 1.5 m/s; v2 = 0; v’2 = 2 m/s; m2 = 0.4 kg
Gọi t là thời gian tương tác giữa hai xe
Chọn chiều dương là chiều chuyển động của xe một trước va chạm
Áp dụng định luật 3 Newton ta có:

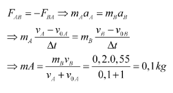
Bài 5: Một xe A đang chuyển động với vận tốc 3.6 km/h đến đụng vào mộ xe B đang đứng yên. Sau khi va chạm xe A dội ngược lại với vận tốc 0.1 m/s còn xe B chạy tiếp với vận tốc 0.55 m/s. Cho mB = 200g; tìm mA?
Hướng dẫn:
Chọn chiều dương là chiều chuyển động ban đầu của xe A
Áp dụng định luật 3 Newton cho hai xe trên ta có

III. Các dạng bài tập vật lý 10 và cách giải liên quan đến cách TÍNH LỰC HẤP DẪN GIỮA HAI VẬT
Bài 1: Hai tàu thuỷ có khối lượng 50000 tấn ở cách nhau 1 km. Tính lực hấp dẫn giữa chúng.
Hướng dẫn:
Đổi: 50000 tấn = 5.107 kg, 1 km = 1000 m
Độ lớn lực hấp dẫn giữa chúng là:

Bài 2: Khối lượng Mặt Trăng nhỏ hơn khối lượng Trái Đất 81 lần, khoảng cách giữa tâm Trái Đất và tâm Mặt Trăng gấp 60 lần bán kính Trái Đất. Lực hút của Trái Đất và của Mặt Trăng tác dụng vào cùng một vật bằng nhau tại điểm nào trên đường thẳng nối tâm của chúng?
Hướng dẫn:
Gọi khối lượng Mặt Trăng là M ⇒ khối lượng Trái Đất là 81 M
Bán kính Trái Đất là R thì khoảng cách giữa tâm Trái Đất và tâm Mặt Trăng là 60 R
Gọi h là khoảng cách điểm cần tìm đến tâm Trái Đất ⇒ khoảng cách từ điểm đó đến tâm Mặt Trăng là 60R - h (R, h > 0)
Theo bài ra: lực hút của Trái Đất tác dụng vào vật đó cân bằng với lực hút từ Mặt trăng tác dụng vào vật
Fhd1 = Fhd2
Bài 3: Trong một quả cầu đặc đồng chất, bán kính R, người ta khoét một lỗ hình cầu có bán kính R/2. Tìm lực tác dụng đặt lên vật m nhỏ cách tâm quả cầu một khoảng d. Biết khi chưa khoét, quả cầu có khối lượng M
Hướng dẫn:
Gọi F1 là lực hấp dẫn giữa quả cầu đã bị khoét với vật m
F2 là lực hấp dẫn giữa quả cầu đã bị khoét đi với vật m
F là lực hấp dẫn giữa quả cầu đã bị khoét đi với vật m
F =F1 +F2 ⇒F1 = F –F2
Vì khối lượng tỉ lệ với thể tích

Trên đây là phần tổng hợp các dạng bài tập vật lý 10 và cách giải thường gặp. Với các dạng bài tập này để làm được, bạn cần phải nhớ công thức. Hãy làm thật nhiều bài tập để ghi nhớ và củng cố kiến thức. Chúc các bạn thành công






