Kiến Guru xin gửi tới bạn đọc toàn bộ bài tập và hướng dẫn giải bài tập toán 11 hình học ở trang 119 trong sách giáo khoa hình học 11. Ở trang 119 SGK hình học 11 có tổng cộng 6 bài , được phân dạng theo từng mức độ khó dễ khác nhau. Nhằm mục đích cho học sinh ôn tập và tổng hợp các kiến thức cho bài “Khoảng Cách”thuộc vào chương 3:“Vectơ trong không gian. Quan hệ vuông góc trong không gian”. Mời các bạn đọc tham khảo
1. Hướng dẫn giải bài tập toán 11 hình học Bài 1 trang 119 SGK
>>> Nắm bắt toàn bộ lượng kiến thức phong phú về môn Toán 11 Toán thầy Mạnh lớp 11
Trong tất cả các mệnh đề dưới đây mệnh đề nào là đúng?
a) Đường thẳng Δ là đường vuông góc chung của hai đường thẳng a và b nếu Δ ⊥a và Δ ⊥b.
b) Gọi (P) là mặt phẳng song song với cả hai đường thẳng a và b chéo nhau thì đường vuông góc chung của a và b luôn luôn vuông góc với (P).
c) Gọi Δ là đường vuông góc chung của hai đường thẳng chéo nhau a và b thì Δ là giao tuyến của hai mặt phẳng (a, Δ) và (b, Δ).
d) Cho hai đường thẳng chéo nhau a và b. Đường thẳng nào đi qua một điểm M trên a đồng thời cắt b tại N và vuông góc với b thì đó là đường vuông góc chung của a và b.
e) Đường vuông góc chung Δ của hai đường thẳng chéo nhau a và b nằm trong mặt phẳng chứa đường này và vuông góc với đường kia.
Hướng dẫn giải
a) Sai
Sửa lại: "Đường thẳng Δ là đường thẳng vuông góc chung của hai đường thẳng chéo nhau a và b nếu Δ cắt cả a và b, đồng thời Δ ⊥ a và Δ ⊥ b"
b) Đúng
c) Đúng
d) Sai
Sửa lại: Đường thẳng đi qua M trên a và vuông góc với a, đồng thời cắt b tại N và vuông góc với b thì đó là đường vuông góc chung của a và b.
e) Sai.
2. Hướng dẫn giải bài tập toán 11 hình học bài 2 trang 119 SGK
Cho tứ diện S.ABC có đường thẳng SA vuông góc mặt phẳng (ABC). Gọi H là trực tâm của tam giác ABC , K là trực tâm của tam giác SBC.
a) Chứng minh ba đường thẳng AH, SK, BC đồng quy.
b) Chứng minh đường thẳng SC vuông góc với mặt phẳng (BHK) . Đường thẳng HK vuông góc với mặt phẳng (SBC).
c) Xác định đường vuông góc chung của BC và SA.
Hướng dẫn giải
Những kiến thức cần chú ý trong bài toán :
+ Hai mặt phẳng cùng vuông góc với mặt phẳng thứ ba thì giao tuyến của chúng (nếu có) cũng vuông góc với mặt phẳng thứ ba.
+ Đường vuông góc chung của hai đường thẳng chéo nhau a, b là đường thẳng cắt a, b và cùng vuông góc với a, b.
3. Hướng dẫn giải bài tập toán hình lớp 11 bài 3 trang 119 SGK
Cho hình lập phương ABCD.A'B'C'D' cạnh a. Chứng minh rằng các khoảng cách từ các điểm B, C, D, A', B' và D' đến đường chéo AC' đều bằng nhau. Tính khoảng cách đó.
Hướng dẫn giải
a) Ta có: ∆ ABC’ = ∆ C’CA = ∆ADC’=∆ AA’C’ =∆ C’B’A = ∆C’D’A (c.c.c)
Suy ra các đường cao hạ từ B; C; D; A’; B’; D’ xuống AC’ bằng nhau
( chú ý: các tam giác trên đều có chung cạnh AC’)
Gọi khoảng cách đó là h.
Ta có: CC’ = a; 
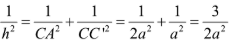
ΔC’AC vuông tại C, có hai cạnh góc vuông là CA và CC’. Áp dụng hệ thức về cạnh và đường cao trong tam giác vuông ta có:
Ta có : 
Suy ra : h = ![]()
4. Hướng dẫn giải toán 11 hình học bài 4 trang 119 SGK
Có AB = a, BC = b, CC' = c lần lượt là các cạnh đã cho của hình hộp chữ nhật ABCD.A'B'C'D'
a) Tính khoảng cách từ B đến mặt phẳng (ACC'A').
b) Tính khoảng cách giữa hai đường thẳng BB'và AC'.
Hướng dẫn giải
1. Ta có : AA’
(ABCD)
AA’
(ACC’A’)
Suy ra (ACC’A’)
(ABCD)
Hai mặt phẳng này vuông góc với nhau cà căt nhau theo giao tuyến AC nên nếu từ B ta kẻ BH
AC thì BH
(ACC’A’) và BH là khoảng cách từ B đến mp(ACC’A’)
Ta có :
Ta lại có BH.AC = BA.BC (=
)
Suy ra : 
b) Ta có :CC’//BB’
Mà CC’
(ACC’A’)
Nên d(BB’;AC’)=d(BB’;(ACC’A’)
=d(B;(ACC’A’)) = BH = 
5. Hướng dẫn giải bài tập toán hình 11 bài 5 trang 119 SGK
Cho hình lập phương ABCD.A'B'C'D'
a) Chứng minh rằng B'D vuông góc với mặt phẳng (BA'C')
b) Tính khoảng cách giữa mặt phẳng (ACD') và mặt phẳng (BA'C')
c) Tính khoảng cách giữa hai đường thẳng BC' và CD'
Hướng dẫn giải
b) Xét tứ giác A’BCD’ có BC//A’D’ và BC = A’D’
=> tứ giác A’BCD’ là hình bình hành
=> BA’ // CD’ ( tính chất của hình bình hành)
Tương tự, tứ giác ABC’D’ là hình bình hành nên BC’//AD’
Ta có 
Gọi O và O’ là tâm của ABCD và A’B’C’D’.
Gọi H và I lần lượt là tâm của hai tam giác đều BA’C’ và ACD’.
* Xét ( BB’D’D)
Ta có BO’// D’O nên OI // HB
Vì : O là trung điểm BD
=> I là trung điểm của HD: IH = ID (1)
* Xét (BB’D’D)
Ta có D’O// BO’ nên D’I // HO’
Vì : O’ là trung điểm của B’D’ nên H là trung điểm B’I: HI = HB’ (2)

Từ (1) và (2) suy ra:
* Theo phần trên B'D ⊥ (BA'C) ⇒ IH ⊥ (BA'C)
Mà I ∈ (ACD') nên khoảng cách giữa hai mp song song (ACD’) và ( BA’C’) là độ dài đoạn IH.
Khi đó:


mà (BA’C’)//(ACD’)
Vậy d(BC’;CD’) = d((BA’C’);(ACD’)) = ![]()
6. Hướng dẫn giải bài tập toán 11 hình học bài 6 trang 119 SGK
Chứng minh rằng nếu đường thẳng nối trung điểm hai cạnh AB và CD của tứ diện ABCD là đường vuông góc chung của AB và CD thì AC = BD và AD = BC.
Hướng dẫn giải
Gọi I, K lần lượt là trung điểm của cạnh AB và CD
Qua K kẻ đường thẳng d // AB, trên d lấy A', B' sao cho K là trung điểm của A'B' và
KA' = IA
* Xét tam giác CKB’ và DKA’ có:
KC= KD ( giả thiết)
KB’= KA’( cách dựng)
CKB'=A'KD ( hai góc đối đỉnh )
=> ∆ CKB’ = ∆ DKA’ ( c.g.c)
=> B’C = A’D
*Xét tứ giác IBB’K có IB= KB’ và IB // KB’ ( cách dựng)
=> Tứ giác IBB’K là hình bình hành
=> BB’ // IK (1)
Chứng minh tương tự, ta có: AA’// IK (2)
Từ (1) và (2) suy ra: BB’// IK// AA’ (*)
Ta có : 
Lại có:IK ⊥ CK
=> IK ⊥ (CKB') (**)
Từ (*) và (**) suy ra BB' ⊥ (CKB') ; AA' ⊥ (CKB')
⇒ BB' ⊥ B'C; AA' ⊥ A'D
* Xét hai tam giác vuông BCB’ và ADA’ có:
BB’ = AA’ (= IK)
CB’ = A’D (chứng minh trên)
=> ∆ BCB’ = ∆ ADA’ ( cạnh huyền –cạnh góc vuông)
=> BC= AD.
* Chứng minh tương tự, AC = BD
Đây là tổng hợp hướng dẫn giải bài tập toán 11 hình học do Kiến Guru dành nhiều tâm huyết biên soạn. Mong rằng sẽ hỗ trợ nhiều cho bạn đọc trong quá trình học tập và làm bài cũng như có thêm nguồn tài liệu để tham khảo và chuẩn bị cho quá trình ôn tập của mình nhé. Chúc các bạn đọc ôn luyện và làm bài tập thường xuyên để có kết quả tốt trong những kỳ kiểm tra và các kỳ thi quan trọng sắp tới.










