Trong chương trình vật lý lớp 12, dao động là một khái niệm quan trọng và xuyên suốt. Lượng câu hỏi liên quan đến dao động là khá lớn trong một đề thi, vì vậy hôm nay Kiến Guru xin giới thiệu đến bạn đọc Các dạng bài tập sóng cơ và cách giải. Bài viết tóm tắt những kiến thức căn bản, đồng thời đưa ra một số ví dụ điển hình để các bạn ôn tập và rèn luyện tư duy giải quyết vấn đề. Mời các bạn cùng tham khảo:
>>> Lớp Tổng ôn và Luyện đề Tốt nghiệp THPT 2023 môn Vật lý thầy Ngọ
I. Các dạng bài tập sóng cơ và cách giải: Tóm tắt lý thuyết
1. Khái niệm sóng cơ và sự lan truyền của sóng cơ
Sóng cơ là sự lan truyền các dao động cơ học trong một môi trường vật chất bất kì (rắn, lỏng, khí). Đặc biệt, vì đây là các dao động cơ nên sóng cơ sẽ không truyền được trong môi trường chân không.
2. Đặc điểm
Khi lan truyền, chỉ có trạng thái dạo động và năng lượng truyền đi từ phân tử này sang phân tử khác, còn chúng thì vẫn dao động tại chỗ. Quá trình truyền sóng được xem là sự truyền pha dao động, tương ứng, tốc độ truyền sóng chính là tốc độ truyền pha dao động.
3. Phân loại sóng cơ
Sóng ngang: phương truyền sóng vuông góc với phương dao động thì gọi là sóng ngang.
Ví dụ: sự lan truyền của sóng biển.
Sóng dọc: ngược lại với sóng ngang, phương truyền sóng song song với phương dao động.
Ví dụ: sóng âm thanh, sóng địa chấn (tạo ra từ các vụ nổ, các vụ động đất) được xem là sóng ngang.
4. Các đại lượng trong quá trình truyền sóng
Vận tốc truyền sóng v: được tính bằng quãng đường mà sóng truyền đi trong một đơn vị thời gian: 
Tần số f: đây là 1 đại lượng đặc trưng cho sự truyền sóng, mỗi sóng truyền đi đều có một tần số và bằng tần số của nguồn sóng, và không thay đổi giá trị khi đi qua những môi trường khác nhau.
Chu kì T: T=1/f
Bước sóng
là đoạn đường đi được của sóng ở một chu kì. Có thể xem là khoảng cách gần nhất theo phương truyền sóng giữa 2 điểm dao cùng pha dao động:
Hình 1: Ví dụ về bước sóng
Độ lệch pha: gọi d là khoảng cách giữa 2 điểm trên phương truyền,
Từ đó, hai điểm cùng pha khi 
5. Phương trình sóng
Xét nguồn sóng tại A,
, 1 điểm B cách A 1 đoạn d, khi đó sóng tại B có phương trình: 
Có thể giải thích, sóng truyền từ A đến B, mà sự truyền sóng vốn dĩ là sự truyền pha dao động, vì vậy pha ở B phải trễ hơn pha ở A một khoảng đúng bằng độ lệch pha.
Dựa vào phương trình trên, ta thấy sóng tuần hoàn theo thời gian và không gian.
II. Ví dụ minh họa các dạng bài tập sóng cơ và cách giải
Sóng cơ là một chương rộng, hiển nhiên các dạng bài tập sóng cơ và cách giải cũng rất nhiều. Kiến xin đưa ra 3 dạng chọn lọc để bạn đọc tìm hiểu.
Dạng 1: Tìm các đại lượng chưa biết của sóng
Một số lưu ý:
Liên hệ giữa các đại lượng:
Số ngọn sóng quan sát được là n trong khoảng thời gian t thì 
Khoảng cách của n đỉnh sóng liên tiếp là L thì 
Từ đỉnh sóng thứ m đến đỉnh sóng n cách nhau 1 đoạn L thì:
+ Hai đỉnh sóng cùng chiều truyền sóng: 
+ Hai đỉnh sóng ngược chiều truyền sóng: 
* Nhớ phải đổi đơn vị cho đúng sang dạng cần tìm
Minh họa:
Dạng 2: Tìm phương trình truyền sóng
Lưu ý cần nhớ:
Trong các bài toán truyền sóng, ta giả sử bỏ qua mất mát năng lượng, như vậy biên độ tại nguồn sóng và các điểm lân cận là bằng nhau.
Phương trình truyền sóng ở A cách nguồn sóng một đoạn d:

Phải đổi đơn vị về tương ứng với nhau như đã nêu ở dạng 1.
Minh họa:
VD1: Một sóng cơ học truyền từ M đến O, biết MO = 0,5cm. Vận tốc truyền sóng không đổi v = 20cm/s. Nếu phương trình truyền sóng tại O là
thì phương trình truyền sóng tại M sẽ là như thế nào? Giả sử không bị mất mát năng lượng trên phương truyền sóng.
Hướng dẫn giải:
Vì sóng truyền từ M tới O, vì vậy ở M sẽ nhanh pha hơn ở O 1 giá trị đúng bằng độ lệch pha:

Vậy ta được:

VD2: Cho sóng cơ học truyền dọc theo phương Ox:
, biết x là tọa độ được tính bằng mét, t là thời gian tính bằng giây. Tính vận tốc truyền sóng.
Hướng dẫn giải:
Ta chú ý, để giải dạng bài tập này, trước tiên cần biến đổi phương trình truyền sóng về dạng cơ bản, tức là 
Khi đó:

Dạng 3: Giao thoa hai sóng cùng biên độ
Có nhiều dạng giao thoa sóng, để đơn giản, ở đây Kiến xin đề cập đến trường hợp hai sóng có cùng biên độ và tần số.
Một số lưu ý:
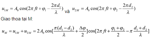
Cho 2 phương trình sóng: 
Xét điểm M cách hai nguồn 1 đoạn d1, d2 khi đó phương trình truyền sóng từ 2 nguồn tới M là:

Biên độ dao động tại M:

Như vậy ta có nhận xét sau:
+ Nếu hai nguồn u1 , u2 dao động cùng pha, khi đó biên độ giao thoa đạt cực đại là 2A0 ở vị trí d1 - d2 =
, biên độ dao động cực tiểu là 0 khi

Minh họa:
VD: Trên mặt thoáng có hai nguồn kết hợp A, B có phương trình dao động
. Tốc độ truyền sóng v = 3m/s.
a) Viết phương trình sóng tại M cách A, B một khoảng lần lượt là d1 = 15cm và d2 = 20cm.
b) Tính biên độ và pha ban đầu của sóng tại N cách A và B lần lượt là 45cm và 60cm.
Hướng dẫn giải:
a) Ta có: 
Khi đó: 
Phương trình dao động tại M là: 
b) Áp dụng công thức tính biên độ và pha ban đầu:
(rad)
(chú ý hai nguồn kết hợp cùng pha nên
)
Trên đây là những tổng hợp về các dạng bài tập sóng cơ và cách giải chi tiết mà Kiến muốn chia sẻ đến các bạn. Hi vọng thông qua bài viết, các bạn sẽ tự ôn tập và rèn luyện phương pháp tiếp cận những bài toán vật lý. Đây là một chương quan trọng và dạng bài tập có rất nhiều, vì thế bạn cũng có thể tham khảo thêm những bài viết trên trang Kiến guru để ôn tập thêm các dạng bài tập sóng cơ và cách giải khác. Chúc các bạn tự tin và quyết thắng trong kì thi THPT Quốc Gia sắp tới.







